發布時間:2024-04-16 瀏覽量:0

骨缺損是目前骨科一種嚴重的難治性疾病,臨床上骨缺損主要由嚴重的創傷、感染、腫瘤切除、先天性畸形等引起。
現有骨缺損的治療方法
PART 01
自體骨移植是治療骨缺損的常規治療方法,但這種治療方法可能引起慢性疼痛、血腫、感染、血管神經損傷等并發癥,限制了臨床應用;同種異體骨移植是治療骨缺損的另一種選擇[1],但受到免疫排斥和疾病傳播風險的限制。
人工骨不受移植骨并發癥的影響,可以通過注射硫酸鈣/磷酸鈣材料 [2]或β-磷酸三鈣(β-TCP)[3],用于維持解剖結構和促進功能恢復。然而,在骨缺損修復過程中,人工骨不太可能實現完全的骨再生。因此,目前用作人工骨材料的生物陶瓷的長期有效性取決于改善骨傳導、骨誘導和成骨的條件。
間充質干細胞(Marrow mesenchymal stem cells, MSCs)具有很強的成骨分化潛能[4],用作骨填充材料可促進成骨[5]。β-磷酸三鈣(β-TCP)具有良好的生物和組織學特性:
①骨誘導性:磷酸鈣生物陶瓷具有良好的生物相容性,作為人工骨材料,骨修復作用主要體現在骨傳導性方面,可以為新骨的形成提供支架;
②降解性:磷酸鈣生物陶瓷的多孔結構使接觸面積增大,加速了在體內的降解過程。
因此,MSC/β-TCP復合材料有可能是一種有前景的、在臨床可行的骨缺損修復材料。
MSC/β-TCP復合材料如何發揮作用?
PART 02
首先,MSC/β-TCP復合材料可作為骨形成的支架。MSC/β-TCP復合材料既具有成骨性,又具有骨傳導性,有利于新骨的形成。MSC附著在β-TCP支架的內表面,從而使支架的表面和中心能夠成骨。與單獨使用MSC,骨髓或β-TCP相比,該復合支架可以誘導更多的骨小梁和新的骨量,具有更高的局部融合率和穩定性[6]。

圖 | 大鼠股骨缺損的組織學切片[7]
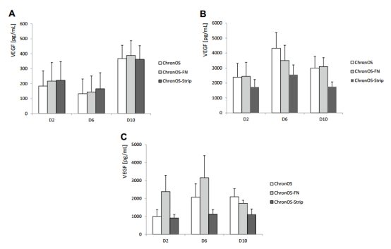
其次,β-TCP負載MSC可以發揮其旁分泌的作用。已有研究表明,骨缺損的大小可能限制骨形成細胞的向內生長,并且血管的缺乏不能為骨移植物提供足夠的營養支持。骨缺損中支架的早期血管化可能是成骨修復細胞長入體內以實現骨再生所必需的。而在β-TCP支架上植入MSC或EPC在體內可以觀察到VEGF分泌。與未植入細胞或細胞/β-TCP復合材料的骨缺損相比,植入EPC、MSC或兩種細胞組合的細胞/β-TCP復合材料的骨缺損中VEGF含量更為豐富[8]。因此,細胞/β-TCP復合材料的應用改善了骨缺損處的血管化進而加速骨愈合。

圖 | VEGF分泌[9]
未來展望
PART 03
據不完全統計,全球每年都要進行約200萬例骨移植。
然而,龐大的需求背后,這種從其他部位“挪用”骨骼的療法卻并不完美,存在著可用性低,再生能力較低,免疫排斥等問題。
因此,醫學上迫切需要治療難以愈合的骨折和大尺寸骨缺損的新方法。MSC/β-TCP復合材料是第一個基于生物材料的異位骨形成模型,揭示這一途徑的細胞和分子機制,讓我們再次看到了干細胞以及再生醫學的潛力,為骨修復的臨床應用提供了一種新的途徑。
【注】文章內容旨在科普細胞知識,進行學術交流分享,了解行業前沿發展動態,不構成任何應用建議。


