發布時間:2025-11-11 瀏覽量:0
前言
INTRODUCTION
近期,流感高發,中國疾控中心的監測數據顯示,不同于去年流行甲型H1N1為主,今年主要流行毒株為甲型H3N2。由于毒株的變異,人群對當前H3N2的免疫基礎相對較弱,更易造成傳播,因此值得引起廣泛警惕。
每到流感季節,“免疫力”總會成為大家關注的焦點——而免疫系統的狀態,其實遠比“強或弱”的簡單表述更為復雜。這就要提到“免疫衰老”(Immunosenescence)這一概念。它并非指免疫力單向、簡單地下降,而是伴隨年齡增長,免疫系統發生的一系列結構性改變與功能性重塑:新生免疫細胞逐漸減少,記憶性細胞不斷積累,機體處于慢性、低度的炎癥狀態,整個免疫平衡也因此被悄然打破。近日,國際權威期刊 Immunity & Ageing 發表了一篇研究。

研究團隊通過分析了不同年齡段健康人群的免疫細胞變化,首次建立了東亞人群的免疫細胞年齡參考圖譜,進一步揭示了免疫衰老。
在前文提到研究中,團隊招募了 363 名無慢病、無感染、無用藥史的健康成年人,覆蓋 21 至 87 歲,檢測其外周血中免疫細胞的比例與亞型,包括T 細胞(CD4?、CD8? 及 na?ve/記憶亞群)、B 細胞、NK 細胞(自然殺傷細胞)、單核細胞、樹突狀細胞等。這些免疫細胞在體內的分工明確,并且相互協作,發揮機體免疫防御的能力。
(1)隨年齡增長,CD8? 新生 T 細胞比例顯著下降,而老化T細胞則隨年齡增長升高。
T 細胞譜系發生了顯著重塑:CD8? T 細胞數量明顯下降,而 CD4?/CD8? 比值上升;na?ve T 細胞(負責識別新病原的“新兵”)數量銳減;記憶型與效應型 T 細胞逐漸積累,換句話說,老年人的免疫系統像一支經驗豐富但缺乏新兵的部隊——善于應對舊敵,卻難以識別新病毒。
(2)其他免疫細胞同樣發生了重塑。

各年齡段不同免疫細胞的比例變化,
揭示免疫系統隨年齡的整體重塑趨勢
被稱為“免疫第一道防線”的NK 細胞,雖然表面看總體數量隨年齡上升,尤其是成熟的 CD56^low 亞型,但研究指出,這種增長更可能是機體的“補償性反應”,部分 NK 細胞功能反而下降,殺傷效率減弱。
而專門生成抗體,負責體液免疫的的B細胞,隨著年齡增長,總 B 細胞比例也會下降,這意味著老年人的抗體庫更新速度放慢,新病原出現時,身體反抗的速度也將變慢等。
研究顯示,即使在同一年齡段,不同個體的免疫細胞組成差異依然顯著。有些 60 歲的受試者,其免疫細胞特征與 40 歲人群接近;而有些年紀尚輕的人,免疫系統卻已經呈現出“提前老化”的跡象,長期的慢性炎癥、反復感染、高壓生活、睡眠不足以及環境污染,都可能讓免疫細胞提前進入“耗竭期”,功能下降,更新受限。

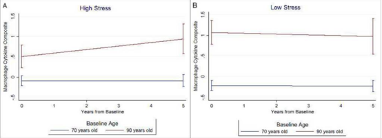
壓力較高可能進一步加速免疫系統的重塑
此外,研究人員還發現了一個現象——這種免疫衰老在不同性別之間差異也很明顯。數據表明,女性 CD4?/CD8? 比值更高、記憶 B 細胞更多,免疫反應更穩定;而男性 CD8? CD28? CD57? 細胞比例更高,顯示免疫衰老更明顯。
當然除了“提前衰老”,隨著年齡增長,人體免疫系統會逐漸 “衰老”—— 免疫細胞數量減少、功能下降,導致老年人更易感染疾病、癌癥風險升高,這一過程也就是文章開篇提到的 “免疫衰老”。
免疫系統是人體抵抗各種致病原的重要屏障,在我們的一生中是不可或缺的重要角色。我們的免疫力通常在35歲之后開始逐漸下降,免疫細胞的數量和活性也隨之減少。研究數據顯示,人體免疫系統的免疫力在20歲左右達到高峰,到了40歲時,就只剩20歲的一半,免疫器官伴隨人體開始衰老,尤其是胸腺等器官嚴重萎縮,免疫能力隨著人體衰老,發生免疫衰老。到了70歲,又只有20歲時的1/10,隨著免疫力下降,從而就給了癌細胞可乘之機。

免疫正常化的核心理念在于調整免疫系統,使其達到健康和平衡的狀態,不僅僅是健康的生活方式和保持運動,選擇在健康的時候將自己的免疫細胞進行存儲,是一種有效的保持免疫細胞活性的辦法。

圖 | 齊魯細胞庫
存儲免疫細胞相當于為自己準備一支強大的“免疫后備軍隊”,等到有需要的時候,我們可以因為這些存儲下來的種子細胞,讓自己以更飽滿的姿態去捍衛健康。您可以選擇將健康的免疫細胞種子“保鮮”在5G智能全自動化深低溫液氮儲存庫—齊魯細胞庫。

圖 | 齊魯細胞形象代言人-影視明星王艷
“預留健康細胞,收獲美好未來”。
齊魯細胞愿為您和家人的健康保駕護航!
【注】文章內容旨在科普細胞知識,進行學術交流分享,了解行業前沿發展動態,不構成任何應用建議。

