發布時間:2024-05-21 瀏覽量:0

嵌合抗原受體(CAR) T細胞治療于1989 年由Zelig-Eshhar 首次提出,在血液系統惡性腫瘤治療中已表現出顯著的療效,截至目前全球已有約10 款CAR-T 產品獲批[1]。此外,眾多臨床試驗結果顯示,CAR-T 療法不僅在白血病、淋巴瘤、多發性骨髓瘤等血液腫瘤的治療中療效卓越,在卵巢癌、肺癌、胃癌、胰腺癌、結直腸癌等實體腫瘤也具有較大的治療潛力[2],超過700項CAR-T試驗正在積極招募患者,進一步說明了CAR-T細胞療法的快速發展。
CAR- T療法已歷經五代的發展(見下圖),通過對CAR結構的設計創新和優化,已有不少臨床前研究顯示出良好的療效和安全性,極大地拓展了CAR-T療法的臨床應用,但在cGMP CAR - T細胞生成過程中,細胞培養的關鍵參數(如pH或氧合)很少被主動監測。全面了解這些因素在CAR-細胞制備過程中所起的作用可能有助于優化患者特異性CAR - T細胞治療,從而使患者獲得最大的療效以及最小的毒性。

圖 | CAR-T的5代發展歷程
隨著新的CAR - T細胞療法商業化并進入臨床使用,生產穩定的、高質量和高效力的CAR - T細胞至關重要。細胞培養是一個動態的過程,了解細胞、培養基、營養物質和生長因子之間的相互作用對于生產高質量和有效的細胞治療產品至關重要。在CAR-T細胞制備過程中,常規監測CAR-T細胞活率、表型、CAR 陽性率、無菌檢測、支原體、熱原/內毒素的檢測等指標,很少關注代謝物、氧氣和二氧化碳張力或PH等變量。然而這些因素可能與CAR - T細胞增殖和適應性有關。pH值雖然是一個簡單的指標,但可以反映二氧化碳張力,乳酸積累和T細胞增殖率。因此,監測這些變量在預測最終細胞治療產品的特性方面可能有一定的價值。

培養基特性不僅可以作為T細胞擴增的指標,還可以作為潛在的干預點。培養基的pH值已被證明會影響T細胞的增殖、分化和代謝。在酸性培養基(pH 6.6或更低)中培養的T細胞活化、增殖和向抗原特異性細胞毒性T淋巴細胞分化的速度減慢。T細胞在酸性培養基中的擴展引發T細胞代謝重編程,糖酵解受限,長鏈脂肪酸代謝增加。準確監測和控制pH值和代謝物可能是確保最佳CAR - T細胞性能和功能的重要方式。然而,這些因素在臨床GMP CAR - T細胞生成過程中很少被監測,它們對CAR - T細胞生長和分化的影響尚未得到充分研究。
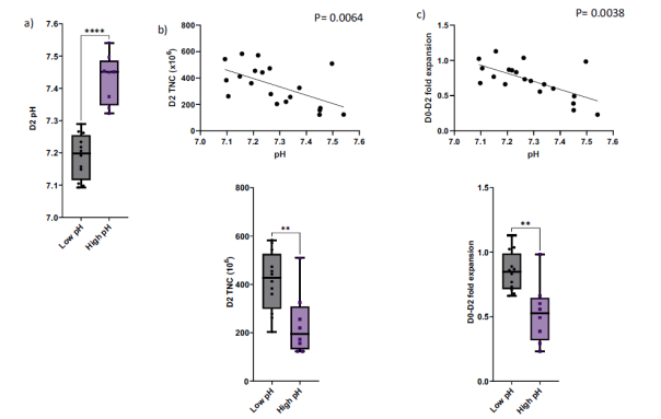
Michaela等人檢測了抗CD22 CAR - T細胞培養物的pH和代謝參數,并探討了培養條件與臨床結果之間的關系。納入研究的產品來自20名被診斷為復發性或難治性表達CD22的B細胞惡性腫瘤的兒童和年輕人,并參加了抗CD22 CAR - T細胞(NCT 02315612)的1/2期臨床試驗。在細胞培養至第二天時將產品分為低PH組(12個樣品 ,PH范圍從7.093-7.289;平均值7.2))和高PH組:(8個樣品,pH范圍為7.323 ~ 7.541;平均值7.4)。Michaela等人的研究顯示,CAR - T細胞制備過程中的pH波動與細胞產物的性質相關,并可能指示臨床結果。
在細胞生產開始時,低pH值與CAR - T細胞的生長、擴增和代謝活性相關
PART 01
生產開始時的高pH值與有核細胞數量減少、細胞擴增減慢和T細胞代謝重編程有關(圖2)。在低和高pH組之間比較了細胞因子和生長因子的水平,與高pH組相比,低pH組的樣品中有6種分析物的含量明顯更高(圖3),低pH組的樣品中干細胞因子(SCF, p < 0.04)、巨噬細胞集落刺激因子(M-CSF, p < 0.004)、白血病抑制因子(LIF, p < 0.0052)、白細胞介素15 (IL-15, p < 0.0066)、白細胞介素受體2 α (IL2Rα, p < 0.0002)和腫瘤壞死因子β (TNF-β, p < 0.0001)的水平升高,表明更活躍的T細胞將分泌更多的細胞因子和生長因子到細胞培養基中。從較低pH開始的細胞增加了幾種細胞因子的產生,包括IL-6、IL12p70、TNF-a和GM-CSF,這些細胞因子不僅在CAR -T細胞的靶向細胞毒性中發揮重要作用,而且在脫靶效應的發展中發揮重要作用,如CRS和神經毒性。


低pH值與臨床反應相關
PART 02
通過分析低pH組和高pH組之間的疾病反應率發現,在D2低pH組的12名患者中,10名患者進行了輸注, 在接受細胞治療的患者中,8例(80%)達到完全緩解(CR),其定義為28天的完全骨髓緩解。高pH組6名患者接受了CAR - T細胞輸注。與低pH組相比,在高pH組中,只有2例(33%)患者達到臨床緩解,4例(67%)患者沒有達到臨床緩解。由此可見達到完全緩解的患者多集中在低PH組CR為80%,而PH組CR僅為33%。因此,在生產開始時,細胞pH值較高的患者往往具有較低的臨床反應概率(圖4)。

▲FDA初次批準CAR-T免疫治療方法治療白血病(圖源:FDA)
在CAR - T細胞生產過程中,pH值的測量與細胞增殖以及CAR - T細胞的其他代謝特性存在相關性[3],準確的pH跟蹤可以作為細胞產品質量的重要指標,并可能成為CAR - T細胞臨床療效的預測指標。在CAR - T細胞生產的整個過程中都需要監測pH,結合其他因素,可以顯著提高CAR - T細胞的質量、相容性和安全性。
未來展望
PART 03
隨著醫學技術的發展,CAR-T細胞免疫療法越來越多的出現在大眾的視野。作為近年來免疫治療最火熱的一種,CAR-T療法的發展受到整個醫學界及學術界的關注。
近期,Nature雜志及其子刊相繼發文,闡述了CAR-T免疫細胞治療的前景。其中一篇發文表示,來自臨床和臨床前研究的證據強調了CAR - T療法在腫瘤以外的應用潛力,比如在治療自身免疫、慢性感染、心臟纖維化、衰老相關疾病和其他疾病方面的潛力。

隨著臨床的發展,近年來,CAR-T免疫細胞治療成為了細胞治療的“主流”,尤其是在針對血液惡性腫瘤方面的成效備受矚目。從CAR-T療法到其他的免疫細胞療法,隨著研究的不斷深入,相信在未來醫學領域中免疫細胞療法一定會將發揮更加重要的作用,將為人類健康帶來更多的福音!


