發布時間:2025-03-28 瀏覽量:0
前言
INTRODUCTION
阿爾茨海默癥(Alzheimer's Disease, AD),是一種漸進性的神經退行性疾病,主要表現為記憶力減退、認知功能下降以及日常生活能力的逐漸喪失。病因復雜,?發病機制尚不明確,?治療手段相對有限,?被稱為現代醫學的“死角”,并且近年來隨著老齡化加重,患病人數也在上升。
近年來,科學家們不斷探索新的應對方法,以期延緩或阻止AD的進展。其中,間充質干細胞及其外泌體因其獨特的生物學特性和潛在前景,成為了研究的熱點。
“Nature Medicine“上發表了一篇名為“Allogeneic mesenchymal stem cell therapy with laromestrocel in mild Alzheimer’s disease: a randomized controlled phase 2a trial”的II期臨床試驗結果,展示了使用間充質干細胞技術應對輕度AD的II期臨床試驗結果。

此項研究納入了49例的輕度阿爾茨海默病(AD)受試者,取得了突破性進展:不僅使全腦體積減少的速率減緩了48.4%,還使得患者海馬體的萎縮速度降低了61.9%,整個過程未出現任何淀粉樣蛋白相關影像異常(ARIA)的安全問題。
參與者被隨機分為四組,分別接受不同劑量的間充質干細胞或安慰劑治療。

從上圖的研究的主要臨床試驗結果,可得知,經過4個月的研究治療和后續的隨訪觀察,在認知功能方面:與安慰劑組相比,受試者在認知功能方面表現出不同程度的改善。特別是在蒙特利爾認知評估(MoCA)和簡易精神狀態評估(MMSE-2)中,中等劑量組和高劑量組的患者評分均有顯著提高;大腦的體積方面,顯著減緩了全腦體積和左側海馬體體積的萎縮。其中,中等劑量組的全腦萎縮速度下降了57%,效果最為顯著;神經的炎癥方向,與安慰劑組相比,干細胞組的受試者神經炎癥水平顯著降低;安全性問題:所有治療組的嚴重不良事件發生率與安慰劑組相似,且未觀察到與干細胞直接相關的嚴重不良反應。這表明期在輕度AD患者中的使用是安全的。
2024年11月,美國德克薩斯農工大學醫學院的研究人員在《細胞外囊泡雜志》上發表文獻,來自人類誘導多能干細胞衍生的神經干細胞的細胞外囊泡可減輕阿爾茨海默病中與疾病相關的小膠質細胞內的促炎級聯反應。

在早期阿爾茨海默病動物模型中,使用這種外泌體可減少大腦中的炎癥和斑塊積聚。在阿爾茨海默病中,小膠質細胞被激活以引起炎癥,并清除大腦中與阿爾茨海默病相關的斑塊。隨著時間的推移,這個最初有用的功能會變得有問題——長時間的激活會導致它們失去正常功能并開始傷害神經元,導致漸進性神經元喪失。
這項研究結果表明,攝入干細胞衍生的細胞外囊泡顯著改變了小膠質細胞的基因表達,減少了多種有害的促炎蛋白,而不影響小膠質細胞繼續清除與阿爾茨海默病相關的蛋白質積聚的能力。
作者認為該技術可使阿爾茨海默病的病情發展“延緩”10-15年,從而極大地提高患者的生活質量。
一項日本開展的研究探中,探討了干細胞外泌體鼻腔給藥應對阿爾茲海默癥的安全性和臨床效果。

該研究結論為:間充質干細胞外泌體經鼻給藥8周是安全的,并觀察到了Hasegawa癡呆量表-修訂版(HDS-R)評分的增加。鼻滴干細胞分泌體是一種安全、簡單的使用方法。從對認知功能的改善效果來看,意味著這種方案有可能成為應對阿爾茨海默病認知障礙的新療法。
研究團隊共選取了13名患阿爾茲海默癥的受試者,通過鼻腔給予間充質干細胞外泌體,每周3次,研究進行8周后,受試者的HDS-R評分從15.6分提高到17.5分,顯示出顯著的認知功能改善。特別是在輕度至中度的受試者中,評分從17.2分提高到20.0分,效果更為顯著。

此外,血液檢查顯示,受試者的血小板數量減少,白蛋白/球蛋白比例增加,低密度脂蛋白/高密度脂蛋白比例下降,這些變化可能與外泌體對代謝的調節作用有關。MCI篩查測試還發現,與阿爾茲海默癥相關的載脂蛋白A-1(ApoA1)水平顯著增加,ApoA1被認為能夠抑制β淀粉樣蛋白(Aβ)的聚集和毒性,從而改善認知功能。
在安全性方面,整個研究過程中,13名受試者均未出現與研究相關的嚴重不良反應。鼻腔給藥干細胞外泌體顯示出良好的安全性,受試者的生活質量得到了顯著提升。
國內上海交通大學醫學院附屬瑞金醫院的研究團隊在General Psychiatry最新公布的一項研究的階段性結果,證實間充質干細胞來源的外泌體噴鼻應對阿爾茨海默I/II期臨床試驗的安全性和有效性。

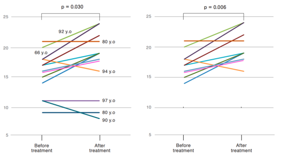
研究團隊通過相關入組及排除標準共篩選9名輕中度患阿爾茨海默病的受試者,根據低、中、高劑量各分配到三個不同的組。
該試驗(ClinicalTrials.gov NCT04388982)對每個受試者分別進行21天的篩選觀察,12周(每周2次給藥)干預以及48周隨訪。
干預期中沒有不良事件的報道。在中等劑量組,與基線水平相比,在第12周,阿爾茨海默病評估量表-認知部分(ADAS-cog)得分下降了2.33 (1.19),蒙特利爾認知評估得分增加了2.38 (0.58),表明認知功能得到改善。此外,中等劑量組的ADAS-cog評分持續下降3.98分,直至第36周。在三個組中,淀粉樣蛋白或tau蛋白沉積的改變沒有顯著差異,但在某種程度上,中等劑量組的海馬體積縮小較少。現有實驗的積極反饋向好,也期待之后有更令人欣喜臨床研究結果。

雖然現有的研究案例展現了干細胞及其外泌體在AD應對方向的潛力,但是還需要更大規模、更長時間的臨床試驗來進一步驗證其效果和安全性。此外,科學家們還需要深入研究間充質干細胞及其外泌體應對AD的具體作用機制,以便為其臨床應用提供更為堅實的理論基礎。
總的來說,間充質干細胞及其外泌體為應對阿爾茨海默病帶來了新的希望。我們也期待在經過廣泛的實驗研究和臨床試驗來驗證干細胞及其外泌體的潛力,在建立一個全面的安全性和有效性數據庫后,為更多的阿爾茨海默癥患者帶來好消息。
【注】文章內容旨在科普細胞知識,進行學術交流分享,了解行業前沿發展動態,不構成任何應用建議。

